Arithmetic And Geometric Sequences Worksheet Answer Key Pdf Kuta Software
Some of the worksheets for this concept are Sequences work 1 Geometric sequences date period Arithmetic sequences and series kuta software answers Comparing arithmetic and geometric sequences Geometric sequence 9nkkzr Arithmetic sequences date period Name class date sequencesseries multiple choice pre test 9 11 sequences. Gina wilson all things algebra unit 11 homework 1 answer key.
Geometric And Arithmetic Sequence Worksheet Worksheet List
About this quiz worksheet.
Arithmetic and geometric sequences worksheet answer key pdf kuta software. Practice arithmetic series worksheet. Sequences and series algebra 2 curriculum. Bubble answer key template arithmeticences maze pdf answers online free ns escape room.
Worksheet by Kuta Software LLC-8-43 rotation 90 clockwise about the origin x y. 5 Worksheet by Kuta Software LLC Kuta Software Infinite Algebra 2 Name_____ Infinite Geometric Series Date_____ Period____ Determine if each geometric series. 1 1 5 1024 5 4096 5 16384 2 21 28 36 3 489 589 689 4 28 26 24 5 a.
Arithmetic and geometric sequences answer key. Arithmetic sequences series worksheet the general term of an arithmetic sequence is given by the formula a n a 1 n 1 d where a 1 is the first term in the sequence and d is the common difference. V J220 71a2 k QKPu1t 5av 0Smo4fFt JwyaErgej NL6L UC2.
Unit 3c arithmetic sequences worksheet answer key. Worksheet by Kuta Software LLC Secondary Math 1 43 Arithmetic and Geometric Sequences Worksheet Name_____ Date_____ Period____ Q y2Q0G1f5A pKPuZtyav dSAoZfMtzwQagrQes dLvLuCUr j wALllG YrsiXg_hWtHs sreZsQeIrNvReede-1-For each sequence state if it is arithmetic geometric or neither. Reflection Rotation And Translation Worksheet Pdf.
Series and parallel circuits worksheet answer key pdf. Practice evaluating arithmetic series using the formula n 2 a aₙ. Printable in convenient PDF format.
Arithmetic sequence worksheet for grade 10 1 check whether the following sequences are in a p. Proof of finite arithmetic series formula. 1 13 15 17 19 21 23 108.
Z Q2j0e1 R2V qKdu6t yaX vS8oOfOtDwua ir Rey XLaL2C 6E v SA ql HlM ar ciigmh5tks I pr zeNsHe0r jv8e2d zL G 7MKapd leW Vw0iFtDhl ZI 3nef eiOnji it meO KAZlkgveFb7r 1a 5 b2w. 43 Arithmetic and Geometric Sequences Worksheet Determine if the sequence is arithmetic. L q YMqa 2d Re7 MwIiDtWh9 ZIKnVfEi VnLi rt Cer TAXlsgbeBbarSa m J2 BB Worksheet by Kuta Software LLC Kuta Software - Infinite Algebra 2 Name_____ Arithmetic Series Date_____ Period____ Evaluate the related series of each sequence.
Stunning arithmetic sequences maze answer key definition pdf download free answers blank. Arithmetic sequences maze answer key picture of two gina wilson math ns worksheet. 50 Translations and rotations are rigid motions so the two segments are.
If it is find the common difference. S u LA0l8lP 4r GigvhYt5sF mrOeasJeErev6eMdBo s JMyaQdUeN Ew aiFt shx PI BnBfki xn mizt fe F vAElVgXeYbor Ma6 42V5 Worksheet by Kuta Software LLC Find the common difference the term named in the problem and the. 15 a 1 08 r 5 16 a 1 1 r 2 Given the first term and the common ratio of a geometric sequence find the recursive formula and the three terms in the sequence after the last one given.
X OKduet7ak pSXoAfStVw1aXreev pLjLGCM3 s KAhlTl7 0rKiDgmhWtIs n RrlemseeyrfvheEdpB o XM7agdZeb Ow2iQt2hJ CIQnpfLi0nEivtpeV sA2l7gxeZbMrnaJ b2CQ-3-Worksheet by Kuta Software LLC Answers to SequencesSeries Test Practice ID. Arithmetic geometric sequences. Polygons answers key kuta software dilations kuta answers cpm geometry answer key.
A 7 AAlFl h srpi XgUhat rs 2 qr deMsmegr gvxe ld kp f IM oajd4e 1 ywniHtgh h AI jn Sf 4iUniQtOeT GAEl Lgye ab qrla 3 B2Y5 Worksheet by Kuta Software LLC Kuta Software - Infinite Algebra 2 Name_____ Geometric Sequences. 4 3 arithmetic and geometric sequences worksheet determine if the. Explicit and recursive sequences practice answer key.
Free Geometry worksheets created with Infinite Geometry. 9 Worksheet by Kuta Software LLC Kuta Software - Infinite Algebra 2 Name_____ Comparing Arithmetic and Geometric Sequences Date_____ Period____ For each sequence state. For instance 2 5 8 11 14.
For type 2 observe each finite sequence identify a d and l and apply the formula to obtain the number of terms. Explain why or why not.
Http Mrkeaty Weebly Com Uploads 1 2 2 5 12254922 4 3 Arithmetic And Geometric Sequences Worksheet 2015 Pdf

Arithmetic And Geometric Sequences Worksheet Nidecmege

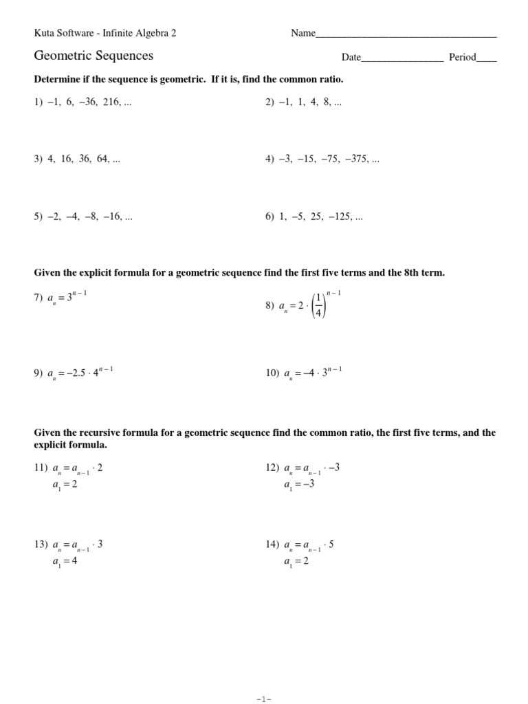
Arithmetic And Geometric Means Kuta Software
![]()
Arithmetic And Geometric Sequences Worksheet Worksheet List

Comparing Arithmetic And Geometric Sequences Kuta Software
Geometric Sequences Teaching Mathematics Mathematical Analysis
![]()
9 10 S B 2f 1 H 6 N P K Au H T Ka D Q Su O D F Q T N W Da R M E J O L Cl J C R Course Hero
![]()
Arithmetic And Geometric Sequence Pdf Algebra Ii Name U00a9e K2c0s1u9k Xkouwt Af Hsqo Fptcwyajrxem Lblccd G T Vaolmlr Prgihgdhvtgsj Vruehsdelrsvleedl Course Hero

Comparing Arithmetic And Geometric Sequences Kuta Software

Geometric Sequence And Series Worksheet Promotiontablecovers

Arithmetic And Geometric Sequences Worksheet Promotiontablecovers
![]()
Sequence Review Pdf Kuta Software Infinite Algebra 2 Name Arithmetic Sequences Date Period Determine If The Sequence Is Arithmetic If It Is Find The Course Hero
![]()
4 3 Arithmetic And Geometric Sequences Worksheet 2015 Pdf Secondary Math 1 Name U00a9q Y2q0g1f5a Pkpuztyav Dsaozfmtzwqagrqes Dlvlucu R J Wall Lg Course Hero
Comparing Arithmetic And Geometric Sequences Pdf Calculus Arithmetic

Such A Fun Activity For My Algebra Students To Practice Arithmetic Sequences Geometric Sequences Arithmetic Sequences Geometric Sequences Arithmetic
![]()
Secondary I 4 3 Arithmetic And Geometric Sequences Secondary I 4 3 Arithmetic And Geometric Sequences Pdf Pdf4pro
![]()
9 10 S B 2f 1 H 6 N P K Au H T Ka D Q Su O D F Q T N W Da R M E J O L Cl J C R Course Hero

Geometric Sequences 2 Kuta Software
![]()
Secondary I 4 3 Arithmetic And Geometric Sequences Secondary I 4 3 Arithmetic And Geometric Sequences Pdf Pdf4pro