List Of The Quadratic Equation Has Degree Ideas
List Of The Quadratic Equation Has Degree Ideas. Harshit singh, 9 months ago grade:12th pass. To solve an equation using the online.

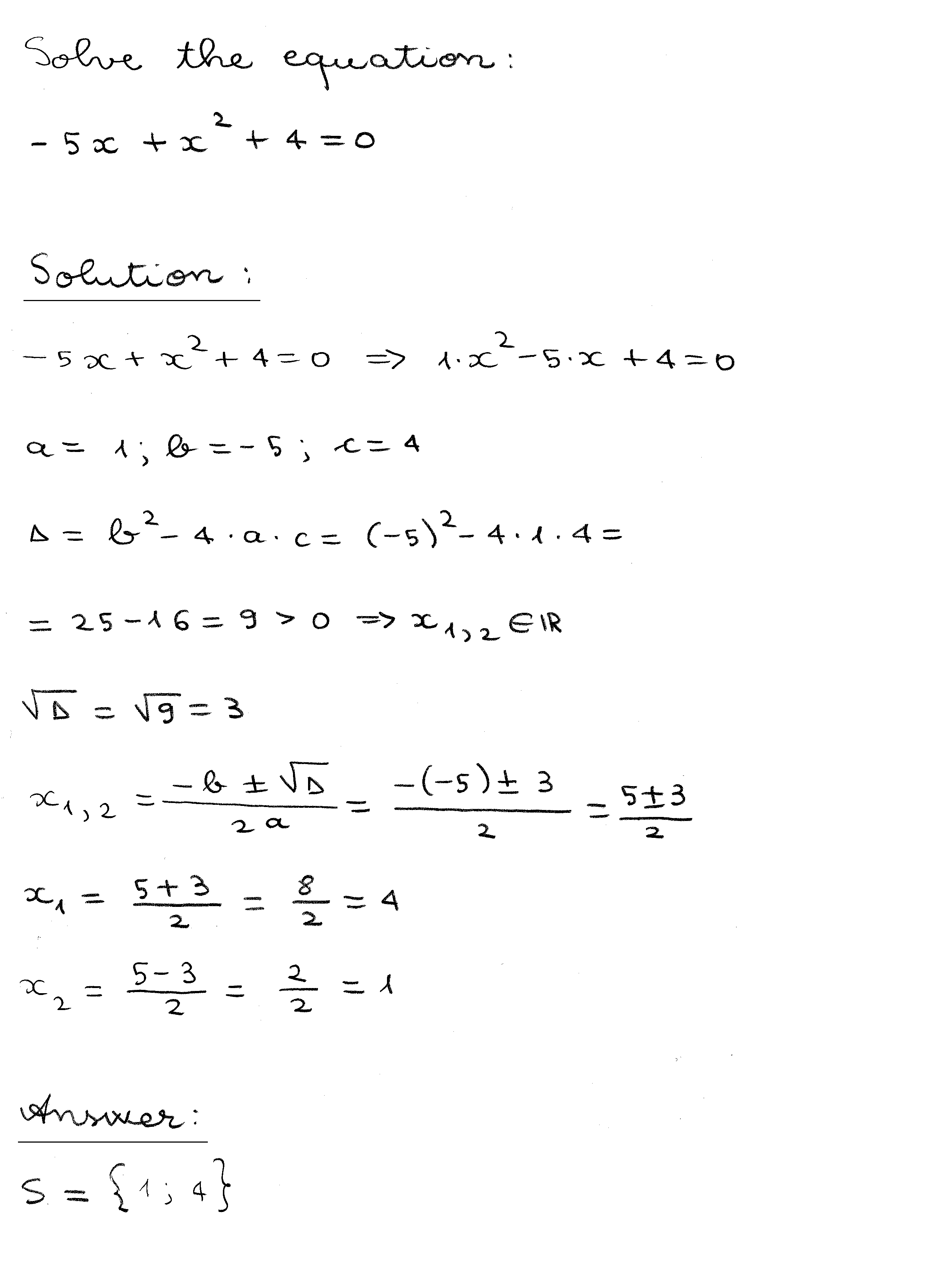
Consider a quadratic equation in standard form: Steps for solving a quadratic equation using the quadratic formula: This quadratic equation root calculator lets you find the roots or zeroes of a quadratic equation.
Higher Order Equations Are Usually.
Harshit singh, 9 months ago grade:12th pass. The quadratic equation has degree (a) 0 (b) 1 (c) 2 (d) 3. To answer this question i had to go back to my middle school days.
The Equation 2X² + Kx + 3 = 0 Has Two Equal Roots, Then The.
Compare the equation with standard form and. These two values are also called the roots or zeros of the equation. × follow question we will notify on your mail & mobile when.
A Quadratic Equation With Real Or Complex Coefficients Has Two Solutions, Called Roots.these Two Solutions May Or May Not Be Distinct, And They May Or May Not Be Real.
Consider a quadratic equation in standard form: In a quadratic equation, the variable x has two values, obtained after solving the equation. Y = 2x + 7 has a degree of 1, so it is a linear equation.
This Quadratic Equation Root Calculator Lets You Find The Roots Or Zeroes Of A Quadratic Equation.
Therefore, the degree of a quadratic equation is 2. Ax2 + bx + c = 0 a x 2 + b x + c = 0. The formula for a quadratic equation is used to find the roots of the equation.
What I Am Doing Wrong?
5w2 − 3 has a degree of 2, so it is quadratic. Suppose, ax² + bx + c = 0 is the quadratic equation, then the formula to find the roots of this equation will be: The degree of a quadratic equation is 2.a quadratic equation is defined as a polynomial equation in two variables that can be put in the standard.